python 48

[프로그래머스/Python] PCCP 기출문제 2번 / 퍼즐 게임 챌린지

https://school.programmers.co.kr/learn/courses/30/lessons/340212?language=python3 프로그래머스SW개발자를 위한 평가, 교육, 채용까지 Total Solution을 제공하는 개발자 성장을 위한 베이스캠프programmers.co.kr이 문제는 diff와 level을 비교해서 level = diff일 경우로 나눠서 진행합니다. level (time_cur + time_prev) * (diff - level) + time_cur 만큼의 시간 소요level >= diff인 경우 time_cur 만큼의 시간 소요 이 때 limit 시간 안에 해결할 수 있는 level을 찾으면 되는데요.저는 처음에 반복문으로 1부터 max(diff)까지 순차적으로 확..

[백준/Python] 곱셈

https://www.acmicpc.net/problem/1629 분할 정복을 이용한 문제A=4, B=16일 때 4**16= (4^8) * (4^8)     = (4^4) * (4^4)          = (4^2) * (4^2)              = (4^1) * (4^1) 만약 B가 홀수라면A=4, B=17일 때 4**17= (4^8) * (4^8) * 4 B가 홀수일 때와 짝수일 때를 나눠서 분할 정복을 해주면 된다 + 나머지 계산C를 이용해 나머지 계산을 할 때나머지 연산 분배 법칙을 이용한다a / n을 한 몫을 q1, 나머지를 r1b / n을 한 몫을 q2, 나머지를 r2 라고 했을 때 a = (q1 * n) + r1b = (q2 * n) + r2 (a × b)= ( (q1 ​× n) + ..

[백준/Python] LCS

https://www.acmicpc.net/problem/9251 참고: https://osnim.tistory.com/entry/%EC%B5%9C%EC%9E%A5-%EA%B3%B5%ED%86%B5-%EB%B6%80%EB%B6%84%EC%88%98%EC%97%B4-LCSLongest-Common-Subsequence-%ED%8C%8C%EC%9D%B4%EC%8D%AC 최장 공통 부분수열, LCS(Longest Common Subsequence) (파이썬)LCS (Longest Common Subsequence)이란? 2개 이상의 문자열에서에서 공통으로 나타나는 부분 문자열 중 가장 긴 문자열을 의미합니다. LCS은 대표적으로 DNA의 공통 염기서열을 찾아 데이터를 압축하거나osnim.tistory.comD..

[Pandas] 데이터 변형하기 - stack, unstack

2024.10.22 - [빅데이터 공부] - [Pandas] 데이터 변형하기 - groupby [Pandas] 데이터 변형하기 - groupby1. groupby()2. pd.pivot(), pd.pivot_table()3. stack(), unstack() 실습을 위한 라이브러리 임포트import numpy as npimport pandas as pdimport seaborn as sns 팁 데이터 사용tips = sns.load_dataset('tips') 데이터 살펴보기tips.head()tidogfoot1.tistory.com 2024.12.07 - [빅데이터 공부] - [Pandas] 데이터 변형하기 - pivot, pivot_table [Pandas] 데이터 변형하기 - pivot, pivot..

빅데이터 공부 2024.12.08

[백준/Python] 아기 상어

https://www.acmicpc.net/problem/16236 도움https://velog.io/@waoderboy/%EC%95%8C%EA%B3%A0%EB%A6%AC%EC%A6%98-%EB%B0%B1%EC%A4%80-16236-%EC%95%84%EA%B8%B0%EC%83%81%EC%96%B4-%ED%8C%8C%EC%9D%B4%EC%8D%AC [BOJ] 백준 - 16236 아기상어 (파이썬)백준 - 16236 아기상어 (파이썬)velog.io BFS를 사용한다 bfs를 이용하여 먹이를 먹으러 갈 수 있는 곳 중 최단 거리 확인 아기 상어는 자신의 크기와 같은 수의 물고기를 먹을 때 마다 크기가 1 증가한다  -> sh_shape(자신의 크기), eat(물고기 몇 개 먹었는지) 변수 사용아기 상어가 몇..

카테고리 없음 2024.12.05

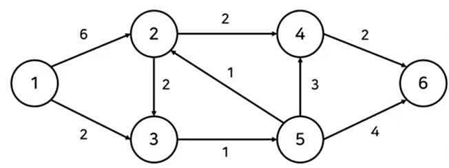
[Python] 음수 간선 벨만 포드 알고리즘

https://www.youtube.com/watch?v=Ppimbaxm8d8&list=LL&index=36 벨만 포드 음의 간선이 있는 경우음수 간선 순환이 생기는 지도 알 수 있다시간 복잡도 O(VE)(다익스트라는 O(ElogV)) 벨만 포드 알고리즘1. 출발 노드 설정2. 최단 거리 테이블 무한으로 초기화3. 전체 간선을 돌면서 최단 거리 테이블 갱신3번을 노드 -1 만큼 반복 음수 간선 순환이 발생하는 지 확인하는 방법3을 한 번 더 반복해서 최단 거리 테이블이 또 갱신되면 음수 간선 순환이 발생(즉 3을 노드만큼 반복하면 된다) n: 노드 수m: 간선 수distance: 최단 거리 테이블edges: 간선 정보 벨만 포드 함수def bf(start, distance): distance[sta..

카테고리 없음 2024.10.26

[백준/Python] 특정한 최단 경로

https://www.acmicpc.net/problem/1504 방법은노드 1 -> 노드 v1 -> 노드 v2 -> 노드 n노드 1 -> 노드 v2 -> 노드 v1 -> 노드 n두 가지 중 최소 경로를 구하고, 만약 INF 보다 크거나 같다면 -1을 출력하면 되는 문제였습니다.  일단 이 문제를 플로이드 워셜로 푸려고 했습니다(이유는.. 800 ** 3을 1억번보다 더 적게 나온다고 잘못 계산해서..)import sysinput = sys.stdin.readlineINF = int(1e9)n, e = map(int, input().split())graph = [[INF]*(n+1) for _ in range(n+1)]for i in range(1, n+1): graph[i][i] = 0 fo..

[Python/백준] 운동

https://www.acmicpc.net/problem/1956 저는 노드가 400개이기 때문에400 ^ 3이 1억번보다 적어 플로이드 워셜 알고리즘을 사용해야겠다고 생각했습니다 import sysinput = sys.stdin.readlineINF = int(1e9)v, e = map(int, input().split())graph = [[INF]*(v+1) for _ in range(v+1)]for i in range(1, v+1): graph[i][i] = 0 for _ in range(e): a, b, c = map(int, input().split()) graph[a][b] = c # 단방향 for k in range(1, v+1): for i in range(..

[FastAPI] 파이썬으로 서버 만들기

파이썬으로 서버를 만들기 위한 프레임 워크1. Flask2. Django 3. FastAPI 이 중 쉽고 빠른 FastAPI로 서버를 만들어 보겠습니다.FastAPI 장점: 비동기 지원동기: 클라이언트 요청이 오면 하나를 처리하고 다음 것을 처리. 동시에 요청이 오면 비효율적비동기: 동시에 요청이 오면 동시에 실행  필요 라이브러리 설치pip install fastapipip install uvicornpip install python-multipart  요청 확인을 위한 테스트 툴 설치1. Postmanhttps://nhj12311.tistory.com/393 포스트맨(postman) 사용법(설치, 다운로드)전부터 웹 개발을 하면서 아주 유용하게 사용했던 프로그램(서비스)가 있어 소개해보려고 합니다. ..

카테고리 없음 2024.09.24