728x90
확률에서 기댓값(E[X])의 수학적 정의
확률변수 X가 가질 수 있는 값들과 그 값들이 나타날 확률을 곱하여 더한 값
(= 가중평균)
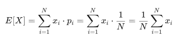
확률 변수 X가 가질 수 있는 값 xi가 나타날 확률 pi라고 할 때 X의 기댓값 E[X]

이때, pi를 가중치라고 본다
pi(xi가 나타날 확률)이 높으면 더 높게 기여된다.
확률 변수 X에 대한 함수 g(X)에 대한 기댓값 E[g(X)]

산술 평균은 기댓값의 특수한 형태로, 가중치(=pi=xi의 확률)가 1/N으로 모두 동일하다고 본다.
